Design Thinking and Decision Analysis

Print   

03 Oct 2016 17 Oct 2016

Disclaimer:
This essay has been written and submitted by students and is not an example of our work. Please click this link to view samples of our professional work witten by our professional essay writers. Any opinions, findings, conclusions or recommendations expressed in this material are those of the authors and do not necessarily reflect the views of EssayCompany.

Topic:

How can decision analysis support the decision making process in design thinking in selecting the most promising properties during the transition fromdivergent toconvergent thinking phases?


Executive Summary

Table of Content

Executive Summary

List of Figures

List of Tables

Index of Abbreviations

1.Introduction

2.Overview of Design Thinking and Decision Analysis

2.1.A New Approach to Problem Solving

2.1.1.What is a Design Thinker?

2.1.2.The Iterative Steps of Design Thinking

2.2.Decision Analysis

2.2.1.Decision Analysis Process

2.2.2.Multi Attribute Decision Making

3.Application Based on a Case Study

3.1.The Design Challenge

3.2.The Static Model

3.2.1.The Alternatives

3.2.2.Objectives and Measures of Effectiveness

3.2.3.Multi Attribute Decision Making

3.2.4.Sensitivity Analysis of the SAW Method

3.3.The Case Study’s solution

4.Conclusion

List of Literature

Statutory Declaration

Appendix

List of Figures

Figure 1: The IDEO process - a five step method (Kelley and Littman, 2004: 6-7)

Figure 2: Figure 3: The HPI process - a six step model (Plattner et al., 2009)

Figure 3: Fundamentals of Decision Analysis (Ralph L. Keeney, 1982)

Figure 4: Schematic form of a decision tree (Keeney and Raiffa, 1993)

Figure 5: A choice problem between two lotteries (Keeney and Raiffa, 1993)

Figure 6: MADM Decision Matrix

Figure 7: The tree main idea clusters

Figure 8: Decision Making Matrix

Figure 9: Decision Maker Matrix for the Design Challenge

List of Tables

Table 1: Different ways of describing design thinking (Lucy Kimbell, 2011)

Table 2: Realization of attributes in alternatives scale

Index of Abbreviations

DADecision Analysis

DCDesign Challenge

DM Decision Maker

DTDesign Thinking

HPIHasso-Plattner-Institute

HMWHow Might We

IWITMI Wonder If That Means

MADMMulti Attribute Decision Making

MCDMMulti Criteria Decision Making

SAWSimple Additive Weighting

1. Introduction

Everyone is in the need to make decisions every day. Those decisions may be shaped by an outstanding problem which just needs to be solved or it may just be the question whether to buy a new pair of shoes or not. Moreover, the problem may easily be solvable by a simple equation or there might be the necessity to formulate the problem in the first place since the difficulty is too diffuse to be absorbed. Due to the huge variety of different problems our society faces every day and with all divergent needs for a solution process, there is a constant need to draft and identify methods that support everyone in making decision. Undoubtedly, there are many methodologies and approaches out there that support the decision making process for daily small decisions that need to be made to life changing decisions. Decision analysis (DA), which is one of the formal methods and design thinking (DT), which is one of the innovative methodologies out there, are two instances of problem solving methods.

Both methods have been applied in similar fields, such as business, technology, and personal life but with divergent intentions. On the on hand, there is DT which is one of the more recent methodologies that helps to get from a problem to a solution with the support from a finite number of iterative steps that the design thinker will follow. Brown, who is the CEO of IDEO, describes DT as a method that is so powerful and implicit that can be used from teams broadly across the globe to create impactful innovative ideas that can be realized by the society or companies (Brown, 2010: 3). On the other hand, there is DA which is an approach that includes a variety of procedures that helps to find a formal solution to an identified problem and creates a more structured solution procedure. Howard was the person who shaped the term DA in 1964 and has been irreplaceable for the development of DA (Roebuck, 2011: 99).

This paper will combine DA and DT to investigate whether DA can leverage the DT process in order to find the most viable solution to a problem. Moreover, this paper will find out whether or not those two approaches can profit from each other. Selected procedures of DA will be integrated in the DT process by reference to a case study. Over and above, the solution generated by the DA technique will be compared with the chosen alternative in the case study that followed the regular DT process. Comparing those two outcomes, this paper will work out whether or not DA can support the DT process.

The second chapter is descriptive of the fundamentals of DA and DT. After the outline of the foundations, the third chapter will apply chosen DA procedures into the DT process on the basis of a case study. Moreover, the chosen alternative by the design thinking team in the case study will be analysed. In the final chapter, the major finding will be summarized and evaluated.

2. Overview of Design Thinking and Decision Analysis

2.1. A New Approach to Problem Solving

Design Thinking is an iterative and innovative approach to solve problems of all kinds that the society is facing. Moreover, it is a human-centred and at the same time investigatory process that puts its emphasis on collaboration, prototyping, and field research (Lockwood, 2010: xi). It is a set of fundamentals than can be applied by different people and to a huge range of problems (Brown, 2010: 7). DT is not a linear, but an iterative process in which the designers are constantly learning from mistakes and improving their ideas. Designers hope to find a linear model that will help them to understand the logic behind a design process; therefore, it is a constant search for decision making protocols that would support the designers’ processes (Buchanan, 1992). In sum, DT is a user-centred approach to solve a variety of problems with the aim to integrate people from various fields; ranging from consumers and business people to designers.

There are a variety of ways to describe DT, as illustrated in Table 1. According to Brown, DT is an organisational resource with the goal to create innovation. Cross describes the method as a cognitive style with the purpose of problem solving. Another famous definition concludes that “Design Thinking means thinking like a designer would” (Roger, 2009). However, the purpose and aim of DT is in its core identical, whether one is applying the processes modified by Cross or Brown (Plattner et al., 2009: 113).

Design thinking as a cognitive style

Design Thinking as a general theory of design

Design Thinking as an organizational resource

Key texts

Cross 1982; Schön 1986; Rowe [1987] 1998; Lawson 1997; Cross 2006; Dorst 2016

Buchanan 1992

Dunne and Martin 2006; Bauer and Eagan 2008; Brown 2009; Martin 2009

Focus

Individual designers, especially experts

Design as a field or discipline

Businesses and other organizations in need of innovation

Design’s purposes

Problem solving

Taming wicked problems

Innovations

Key concepts

Design ability as a form of intelligence; reflection-in-action, abductive thinking

Design has no special subject matter of its own

Visualization, prototyping, empathy, integrative thinking, abductive thinking

Nature of design problems

Design problems are ill-structured, problem and solution co-evolve

Design problems are wicked problems

Organizational problems are design problems

Sites of design expertise and activity

Traditional design disciplines

Four orders of design

Any context from healthcare to access to clean water (Brown and Wyatt 2010)

Table 1: Different ways of describing design thinking (Lucy Kimbell, 2011)

Over the last five years, the term DT has become very present in our society. On top of that, DT is a new term in design and management circles, which shows the demand for creative and innovative methods across various sectors (Kimbell, 2011). Nevertheless, this method is still underdeveloped when it comes to applying design methods at the management level (Dunne and Roger, 2006). But why is the interest in design growing and the term has become ubiquitous? The society is facing a lot of challenges; from educational problems to global warming and economic crisis. Brown sees DT as a powerful approach that can be applied to a huge variety of problems and as a consequence creates impactful solutions to these challenges. On top of that he argues that design has become nothing short of a tactic of viability (Brown, 2010: 3). The method is not limited to the creation and design of a physical product, but it can also result in the conception of a process, tools to communicate, or a service (Brown, 2010: 7). Therefore, it is a method that helps to learn from mistakes and to find impactful and sustainable solutions.

2.1.1. What is a Design Thinker?

Many individuals have their own personal picture of what a designer is and mostly, would not associate themselves with such a term. Nevertheless, the expression designer is not only limited to creative graphic designers that are working in agencies. There are many professionals who would fall under the term designer, from people that are working in corporations and are trying to implement a new innovative way of thinking to people who are creating a new customer experience (Porcini, 2009). Mauro Porcini puts a lot of emphasis on the fact that describing design is a huge challenge, since design can be anything from recognizing impactful solutions to the personal experience that the answers will originate (Porcini, 2009).

According to Brown design thinkers have four characteristics in common (Brown, 2008):

  1. Empathy

Design thinkers have the ability to walk in the shoes of someone else; they view situations from the perspective of other people. This talent allows them to see a lot of thing that others are not able to observe which leads to solutions that are especially tailor-made for the users.

  1. Integrative thinking

Integrative thinking allows the design thinker to go beyond simple solutions by seeing and assembling all the noticeable coalitions to a solution. The ability to not confide on the processes that are characterized by an A or B choice, allows them to involve even antithetic solutions.

  1. Optimism and Experimentalism

Design thinkers are individuals who are confident that to each existing solution there is another one which is more impactful and feasible for the corresponding stakeholders. By experimenting with new information and the existing circumstances and moreover, by asking the most powerful questions, design thinkers are able to ascertain long-lasting innovations.

  1. Collaboration

Another key aspect of the design thinking process is the ability to collaborate with experts from a variety of fields. This talent allows to not only integrating the designers and producers, but also the end user. Moreover, a design thinker him/herself has experience in many different fields and is not only an expert in DT.

2.1.2. The Iterative Steps of Design Thinking

As already mentioned above, there are many ways to describe DT. On top of that, the process may sometimes be described in three, five or six steps in literature. For example, at IDEO, which is one of the leading design consultancies in the world, the designers are working with a five step model (Kelley and Littman, 2004: 6-7).

Figure 1: The IDEO process - a five step method (Kelley and Littman, 2004: 6-7)

However, at the Hasso-Plattner-Institute in Potsdam, the process consists of six steps. The two processes consisting of a different amount of steps only differ in their emphasis on the overall process and a different description but not in their principles (Plattner et al., 2009: 113). In order to describe the process which will later be applied to a case study, the thesis will focus on the six steps process described by Plattner et. al. (Plattner et al., 2009: 114).

Figure 2: Figure 3: The HPI process - a six step model (Plattner et al., 2009)

Understand

The iterative DT process starts with a phase called understanding, which includes defining the problem and explaining the scope. Defining the so called Design Challenge (DC) is crucial for the success of the method since the whole team working on the challenge needs to have the same understanding of the problem to be solved. Moreover, the target group needs to be identified by the team in order to be able to move to the next phase. In the first phase, the emphasis is put on obtaining the knowledge that is required to solve the formulated DC.

Observe

The aim of the second phase is to become an expert. The DT team observes all the existing solutions to the identified problem and challenges them; more specifically the team tries to improve their understanding why there has not been an adequate solution up to that point. The team tries to get a 360° degree view on the problem, integrating all participants and people affected. One of the main activities in this phase is the direct contact with the future users or clients of the product/service for the intended solution. It is crucial to involve the future users since those people are building the target group and know what their wishes, requirements, way of behaviour and needs are. In addition, the team needs to examine carefully the processes and ways of behaviour. In order to do so the team needs to walk in the shoes of the end users. In sum, the second phase emphasises the need to reproduce the end user’s ways of behaviour while being able to fully understand the end user’s perspective.

Point of View

The third phase, called point of view, is the stage where all the findings from the previous phases are interpreted and evaluated. Since in most cases the team has branched out in the second phase, this phase brings everyone together in order to exchange findings. The team will segregate the relevant facts from the dispensable information. This separation helps to define the point of view more precisely which will lighten the fourth phase for the whole team. A method which is often used at this stage is the creation of a persona. A persona is a fictive and ideal-typical end user of the product or service. During this exercise the whole team deploys their findings from the second stage, the observing phase, with the aim to find the right viewing angle on the DC. For the purpose of finding the right perspective, it is important to question and realign the problem from a huge variety of different viewing angles. Recapitulatory, during the third phase the team assembles the key aspects from the end users in order to be able to start finding ideas in the next phase.

Ideate

The ideation phase is characterized by the reorientation of the team’s thinking process from divergent to convergent thinking. In the beginning of the phase, the team is still in a divergent thought process - the group of people is generating as many ideas for a solution as possible. All these concepts should contain a potential solution to the DC and should not be debated by the team in the beginning. It is a phase during which the team experiments with a variety of ideas and invests in the creative thinking process by leaving as much room as possible for everyone to generate constructive ideas.

In contrast to the first half of the ideation phase, the second half is shaped by the convergent method. During the convergent thought process, the team’s goal is to identify the one solution or the best solutions to the DC. This process consists of logical steps towards the exploration of solution/s. There are some creative techniques on how to narrow down the ideas in the ideation phase, for example (Center for Care Innovation, 2013-2014):

  1. Sticky note voting: Every team member gets three stickers and places those next to the ideas that are most viable and feasible to him/her. The ideas with the most stickers will be prototyped in the next phase.
  2. Idea morphing: Each idea will be presented in front of the whole team. After each presentation the team is looking out for synergies to merge some ideas or mixing some elements.

In sum, during this phase the team generates ideas for the exploration of solutions with the help of the information gathered during the last three phases.

Prototype

This phase appears for many people to be really different to what they have been used to during solution oriented processes. The aim of this phase is to visualize the ideas for the users; thereby, the users are able to give feedback more easily and may also be able test the idea. The prototype should not be the perfect visible idea, but the preproduction model should be able to transfer the message, show the strengths and weaknesses of the idea, and moreover, it should help the team to improve the idea even further. It is a visualization of the idea with the use of, for example, modelling clay, paper, Lego figures, and any material that might be within reach. If the solution is a service function, the prototype might be a theatrical performance. Moreover, some teams create a virtual prototype if the idea that cannot be visualized in a real model. All in all, the intention of the phase is to make an idea come alive and visible to the users.

Test

During the testing phase the idea will be tried out with the user. The most important part of this step is that the idea will be tested with the end users and not only within the DT team itself. The testing phase is about identifying the idea’s strengths and weaknesses together with the end user. It is about identifying mistakes because only from these misconceptions the team can learn and further improve the idea, since it is all about the user who will be making use of the idea. Therefore, the team has to put a lot of emphasis on learning from that experience.

2.2. Decision Analysis

Every human being constantly takes decisions throughout the day. On the one hand, there are many minor decisions from the preference of food each day, the question if one should stay in bed or not, to the colour of clothes someone wants to wear. On the other hand, people face situations where they have to choose whether to take a job or not or which car they would like to purchase. Some decisions have a larger and more significant impact than others; therefore, it is important to understand the consequences of the decisions that are being made (Gregory, 1988: 2).

Decision Analysis is designed to help when dealing with difficult decisions by offering more structure and guidance (Clemen, 1996: 4). DA supports the decision making process: it helps to better and fully understand the obstacles that are connected with having to make a decision and, on top of that, helps to make better choices (Clemen, 1996: 3). Moreover, DA permits the operator to make any decisions in a more effective and consistent way (Clemen, 1996: 4). In consequence, DA is a framework as well as a tool kit for approaching various decisions. Nevertheless, the judgement of each DM differs from person to person. One DM may have a preference which manifests itself in the chosen attributes and alternatives. Another DM may not have a preference and, on top of that, the judgement skills may vary from DM to DM as well (Hwang and Yoon, 1981: 8).

According to Keeney, the DA approach concentrates on five fundamental issues that are elementary for all decisions (Keeney, 1982):

Figure 3: Fundamentals of Decision Analysis (Ralph L. Keeney, 1982)

In order to be able to address multidisciplinary problems, the decision problem is divided into several parts which are analysed and integrated during the DA process (Keeney, 1982). Over the last years, various approaches have been identified, such as the shaped DA process by Keeney or the Multi Attribute Decision Making (MADM) method. The later one supports the decision making when a finite number of alternatives have been identified with various, mostly conflicting attributes.

2.2.1. Decision Analysis Process

Over the last decades, many analysts have been working on modifying and improving the DA steps included in the process; therefore, there are many procedures out there with a common purpose: Choosing the best alternative. Keeney describes the DA process in five major steps (Keeney and Raiffa, 1993: 5-6):

  1. Preanalysis

During the first phase the focus is on gathering the alternatives and clarifying the objectives. The decision maker (DM) faces a situation where there is indecisiveness about any steps that are relevant in order to solve the problem. At this stage the problem is already at hand.

  1. Structural analysis

At this stage the DM is confronted with structuring the problem. There are several questions that the DM will need to answer; for example, what call can be made? What are the decisions that can be delayed? Is there specific information that supports the choices that could be made? Figure 4 shows a decision tree in which the abovementioned questions are systematically put into place. The decision nodes which are displayed as 1 and 3 (squared) are the nodes that are controlled by the DM and the chance nodes, shown as 2 and 4 (circled), are the nodes which are not fully controlled by the DM.

Figure 4: Schematic form of a decision tree (Keeney and Raiffa, 1993)

  1. Uncertainty Analysis

The third phase, called the Uncertainty Analysis, starts with assigning the probabilities to each path that is branching off from the chance nodes (in Figure 4, these are the paths left and right from points 2 and 4). The assignment of the probabilities to the branches of the decision tree is a subjective procedure (Keeney and Raiffa, 1993: 6; Gregory, 1988: 172). Nevertheless, the DM makes the assignments by using a variety of techniques based on experimental data. These assignments will be checked for conformity.

  1. Utility or Value Analysis

The objective of the fourth step is the assignment of so called utility values to each path of the decision tree, whereas these represent the consequences connected to that path. The decision path that is shown in Figure 4 represents only one plausible path. In a real problem, many factors will be associated with the path; such as economical costs, psychological costs as well as benefits that the DM considers relevant for that path. The ordinal ranking of the consequences are shown as:

[H1]

The process shown in Figure 5 visualizes the decision tree including the DM’s ranked consequences as well as the preferences of two given alternatives.

Figure 5: A choice problem between two lotteries (Keeney and Raiffa, 1993)

The problem shown in Figure 5 is a situation with two alternatives and . These two alternatives are transformed into a questions of option between and . In the next step, the DM allocates values to each consequence that is shown in the decision tree; for example, as shown in the first line of the decision tree. The utility numbers to each consequence need to be allocated in such a way that the extreme increase of the expected utility is the main decision criteria of the DM. The aforementioned fundamental point can be formulated as follows:

[H2]

  1. Optimization Analysis

After the composition of the problem and during the last phase of Kenney’s and Raiffa’s DA process, the maximization of the expected utility is calculated by the DM. This ideal strategy will support the DM by deciding which choice to make at each node of the decision tree.

This five step process is an iterative procedure during which the DM is conducting the abovementioned steps. The order in which the steps are executed has influence on the outcome of the overall process (Keeney, 1982). To sum up, the DM investigates the possible outcomes that are connected to an early defined problem, with a finite number of choices. Moreover, at the end of each round, the DMs are defining consequences in form of utilities which then highly support the final decision of the DMs (Gregory, 1988: 118).

2.2.2. Multi Attribute Decision Making

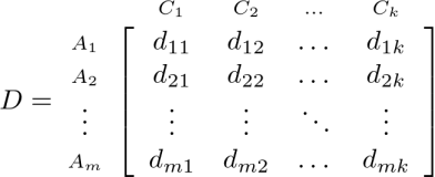
Multi Attribute Decision Making (MADM) is a crucial and very important element of today’s decision making theory (Xu, 2015: v). MADM belongs to the area of Multi Criteria Decision Making (MCDM), which represent the situation when a DM is confronted with various criteria within one problem. MADM supports the decision making process when a finite number of alternatives is identified and the DM needs to select one of those alternatives. Moreover, the alternatives are denoted by two or more potentially conflicting attributes. In each MADM problem, every stated alternative has a realization rating for all the given attributes, which defines the characteristics of all the alternatives (Chakraborty and Yeh, 2007: 102; Rao, 2007: 5; Yoon and Hwang, 1995: 2).

Each MADM problem can be modelled on a decision matrix (presented in Figure 6) and has four main elements represented in the matrix (Rao, 2007: 27):

  1. Finite number of alternatives
  2. Attributes which are commonly conflicting and standing in a trade-off
  3. Comparable significance of each attribute
  4. Method of achievement of each alternative respectively to the attributes

Figure 6: MADM Decision Matrix

Each solution process involves (a) a set of m alternatives presented as Ai (i = 1,2,…,m), which will be assessed based on (b) a set of k attributes denoted as Cj (j = 1,2,…,k). Calculations are then made by preference to (c) the weighting vector W = (w1,w2,…,wj,…,wn) which represents the comparative importance of n attributes Cj (j = 1,2,…,n) for the given problem. The decision matrix D = (dij; i=1, 2,…, m; j=1, 2, …, k) embodies achievement ratings xij of alternatives Ai in respect to the attributes Cj (Chakraborty and Yeh, 2007: 103).

The comparable significance of each alternative, also called the performance rating, is often given in different units since the attributes themselves may be presented in divergent entities (Euros, time, height, etc.). In order to solve this problem, the attributes need to have comparable units. Therefore, MADM applies normalization procedures to attain comparability (Chakraborty and Yeh, 2007: 102). One of the commonly used procedures is the linear scale transformation which is a straightforward approach that divides the outcome of a specific attribute by its highest value. In the case of a benefit criterion (the larger value dij, the more preferred the outcome), the following equation can be applied (Hwang and Yoon, 1981: 30-31):

[H3].

Analogously, for cost criterion, the following equation will be applied:

[H4]

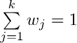
Many MADM techniques have been developed over the last decades with the same goal: to identify the most suitable alternative to the problem. However, this paper will focus on the Simple Additive Weighting (SAW) method since it has been identified to be greatly applicable in the context of this paper. Churchman et al. (1957) were one of the first researchers that have been diving into the SAW method of MADM (Zanakis et al., 1998; Hwang and Yoon, 1981). Moreover, SAW is one of the mostly applied MADM methods (Hwang and Yoon, 1981: 99). Using the SAW method, the DM allocates weights to each attribute which represent the effectiveness of the chosen variables. The sum of the assigned weights needs to be equal to one, as shown in the following equation (Hwang and Yoon, 1981: 99):

The next step for the DM is to create a numerical scaling of all the identified intra-attribute evaluations. Those values will support the DM in making a final decision. For the purpose of capturing a final score for each identified alternative, the DM will multiply the rating of each attribute by the assessed weight to that attribute. Accordingly, the DM will add the products of all attributes, using the following equation (Hwang and Yoon, 1981: 99):

The alternative with the highest score shows itself to be the most promising alternative leading to a solution of the given problem.

In sum, the SAW method integrates all the chosen n attributes to calculate the most suitable alternative. It is important to keep in mind that the values need to be comparable and numerical since the DM needs to perform mathematical operations on the outcomes of the alternatives against the attributes. Last but not least, the DM needs to make sure that the weights reflect the importance of each attribute. For this, the DM can apply a sensitivity analysis to the problem with the aim to see how the outcome changes if the weights of the attributes are being changed (Hwang and Yoon, 1981: 101).

3. Application Based on a Case Study

Every semester the HPI School of Design Thinking offers a so called Basic Track course which gives students the possibility to dive into the mind-set and method of DT. Throughout each course, the students document their findings and outcomes of each DT stage. The following section applies several procedures of the DA steps from Keeney and Raiffa as well as the MADM method to a real three week DT project from the HPI School of Design Thinking. With the support of the documentation of the process steps by the course participants, the paper looks into how DA can support the decision making process in DT in selecting the most promising properties during the transition from divergent to convergent thinking phases.

3.1. The Design Challenge

In the end of 2014 until early 2015, a team of five individuals of the HPI conducted a case study as part of their DT course. The DC of the three week project was “How to enable the owners of small corner shops (“Spätis”) to offer a better shopping experience?” The following paragraphs will describe the DC and further outline the first three steps of the DT process in order to provide a detailed overview of the problem and later integrate DA procedures into the process.

  1. Understand

First of all, the team got aligned on what the DC entailed. This is a crucial part of the success since the team needs to have the same understanding of what the problem is. The team picked the DC to pieces to increase their understanding of the problem. According to their findings, a Späti is a small corner shop which has a lot of competition, is open mostly 24 hours, and sells many products from beverages to sweets and phone cards. The owners are mostly families which migrated to Germany.

Moreover, a better shopping experience for the customers could be provided by an easy and quick purchase, a spacious shop, and a potential delivery service by the Späti. On top of that, the team agreed on the fact that if the owners are happy, the customers will experience a better shopping experience. One can indeed argue about the aforementioned statement’s credibility. Therefore, it is important to point out that it is the team’s point of view and they did not gather extensive evidence to proof their assumptions. In addition, the team worked on setting the stage for the next phase. A detailed questionnaire was designed as an essential tool for the observing phase.

  1. Observe

The actions performed in the second phase focus on understanding the end user’s way of behaviour and perspective. Since the team agreed on the fact that the Späti owners are the end users in their DC (if they are satisfied, the customers will have a pleasant shopping experience), the team mainly observed the owners and not the customers. Hereby, the team used the questionnaire they developed in the previous phase and interviewed six Späti owners in total. After their observations in Berlin and Postdam, the team identified three main insights which they converted into “I Wonder If This Means” (IWITM) questions. The idea behind converting insights into those IWITM questions is the ability to identify the deeper meaning of the discovery when it is translated into a question.

  1. The team identified a Späti in Berlin/Neukölln that sells quality products, such as high quality olive oil from Italy. “I wonder if this means there is potential for other Spätis to sell high-end products in their shops.”
  2. Customers rate the crime in Spätis high but according to the owners, the crime rate is rather low. “I wonder if this means that they lose customers due to the dangerous image of Spätis.”

However, the team made another observation which influenced their decision at a later stage. All of the observed Spätis are managed by families which automatically includes the children of the owners. The children were either only present in the Späti or were actively leading the running operations in the shop. Nevertheless, whenever the team tried to interrogate the owners about the situation of their children, the owners either changed the topic or completely stonewalled the team. This preferred way of handling the situation was thought-provoking for the team.

  1. Point of View

The team worked with the creation of a persona at this stage. As mentioned earlier, a persona is a fictive and ideal-typical end user of a product or service. While defining the persona, the whole team applied their findings from the observing phase, with the aim to find the right viewing angle on the DC. Regardless of the fact that all the owners of the Spätis were of Turkish inheritance, the team identified a Vietnamese couple as the persona. The couple has the following characteristics:

  • Age: Mid forties
  • Three children
  • Proud of their Späti
  • Age of Späti: 5 years
  • Stable financial situation needed for children’s future
  • Alternating 12 hours shifts between wife and husband (24 hours open)
  • Not fluent in German
  • Family lives above the Späti
  1. Ideate

The beginning of this phase is shaped by the divergent thought process. The team is generating as many ideas as possible, whereas those ideas should contain a solution to the DC. It is a phase during which the team experiments with a variety of ideas and invests in the creative thinking process by leaving as much room as possible for everyone to generate constructive ideas. This phase sets ground to the application of DA in the DT process. Moreover, a useful principle used during this stage is the development of so called How-Might-We (HMW) questions. These questions launch flashes of inspiration while being broad enough to give room for the creation of many solutions - but narrow enough to provide some limits for the team.

Moving ahead within the ideation stage, the given condition that Spätis are mostly owned by families, which means that only the family is responsible for keeping the shop running, outlines the question of how much time the owners can spend with their children. The resulting HMW question launched the brainstorm for ideas: “How might we use the community in order to leverage potential help with their work/raising their children?” This question provided the inspiration needed to start with brainstorming in the ideation phase.

Starting the brainstorming session, each team member noted his/her idea on a post-it and adhered it on the wall. In order to gain a better overview of all the ideas, the team clustered them by topic. For example, the idea to create a Kiez Kindergarten was noted down three times in different words ( Kids in the Kiez Club, Späti Kindergarten and gather elderly people in the Kiez to assist with child care). The three main idea clusters that resulted from the brainstorming session of the team are presented below:

Figure 7: The tree main idea clusters

On the contrary, the second half of the ideation phase is shaped by the convergent thought process. Now, the team’s goal is to identify the one solution or the best solutions to the DC. Instead of moving forward with DT procedures such as sticky note voting of idea morphing, the Static Model of DA will support the convergent thought process in order to identify the most promising solution.

3.2. The Static Model

3.2.1. The Alternatives

The team has already identified three alternatives to the DC, which will be further outlined in this section.

  1. The formation of a Späti Union in order to exchange legal tips

Creating a Späti Union is an idea that got developed based on the experience with the treatment of children at the Spätis. Many Späti owners are migrants and are not completely familiar with the German legislation. Moreover, they do not know their rights regarding child labour. This got extrapolated from the fact that family owners block when someone asks them about the handling of their children at the shop. Based on these insights, the team developed the idea of creating a Späti Union that will bring all Späti owners together in order to talk about certain topics and to exchange legal tips. Once again, the team did not talk about such an idea with the owners in the observing phase but developed it based on their personal experience with the owners.

  1. A Späti kindergarten/after school center in each Kiez

The idea of a Späti kindergarten in each Kiez would solve several identified problems. First of all, the owners would have more time which could be dedicated to serve customers in a human-centred way. Second of all, the children will be in a child friendly environment where they can spend time with friends and dedicate time to homework. Last but not least, the owners would not have to feel demeaned because they have not enough time to spend with their kids. Furthermore, they do not have to think about whether customers adjudicate them if children are in their shop. On the contrary, the children would not have time to support the family in the shop during the day. Nevertheless, the team did not identify the demand of a Späti kindergarten; meaning they do not know if it would be appreciated by the owners.

  1. A Späti game for children

This idea indicates a booklet of educational games for children from different ages. The purpose of this idea is to bring parents and children together while being present at the Späti and making use of the materials and products at the Späti. Due to the fact that a Späti is mostly open for 24 hours, parents should still have enough time to support their children with their homework. For example, a child could learn how to count with the coins from the cashier’s point. The suggested exercises from the booklet should give the owners an incentive to support their children and at the same time explain efficient ways of doing so. Again, the team did not notice such need during their observing phase, but developed such idea based on their learnings from the previous phases.

3.2.2. Objectives and Measures of Effectiveness

The next step is to categorize measures of effectiveness which evaluate and describe the possible impact of each of the abovementioned alternatives on every stakeholder that is involved (Keeney and Raiffa, 1993: 443). For this DC, the groups involved in the possible solutions are (1) Späti Owners and (2) Späti owners’ children. Based on the findings of the previous sections, the objectives of the DC are defined as follows:

  1. The creation of a supportive system among Späti owners: This goal is based on the team’s experience and interaction with the Späti owners during the observing phase. Without question, the owners are not feeling comfortable talking about their children’s situation with strangers. The aim is to create an environment where owners feel comfortable talking about their family situation and about who is supporting them at work. On top of that it should be a place where the owners can exchange legal tips and help each other with daily task. In other words, creating a community of Späti owners.
  2. Maximize the child’s well-being with the aim to facilitate a carefree childhood: On the basis of the experience that children’s presence is not uncommon in a Späti, one goal is to facilitate a carefree childhood for the children. The children should not spend their childhood and adolescence working in a corner shop, but rather have the ability to learn, play with peers, and have enough time to prepare the homework.
  3. Minimize the workload of the Späti owners: The team realized throughout their process that the Spätis are mostly run by a whole family. In consequence to the long opening hours, the owners have little time to rest nor do they have a huge amount of time to spend with the family. The goal is to minimize the workload with the objective to have more time available to spend with the family and friends.

Many of the abovementioned objectives include more than one stakeholder group. In sum, the first two objectives account for the Späti owners and their children and objective III for the Späti owners. Of course, there are many other ways to describe the objectives of the team but the purpose of this exercise is to display the team’s comprehensive aims (Clemen, 1996: 44). In order to move forward deciding which alternative fits best within the three defined objectives for the DC, the measures of effectiveness, the so called attributes, need to be defined. According to Keeney (Keeney and Raiffa, 1993: 50), there are five essential characteristics that need to be met byeach attribute in order to guarantee a successful selection of attributes:

  1. Completeness: Any set of attributes has to represent the overall aim of the problem; in the case of the DC, all main characteristics of the problem have to designate the degree to which the set meets the overall aim.
  2. Operational: Keeping in mind the purpose of DA and its aim to support the decision making process, the set of attributes has to be beneficial to the DM. Moreover, the set has to represent the consequences of each alternative.
  3. Decomposable: Given that any problem with more than five attributes is delicate or impossible to solve, a set of attributes needs to be capable of being broken down into two parts. For example, a set of seven attributes will be broken down into a set of four and three in order to facilitate the process.
  4. Nonredundancy: This characteristic reflects the need to avoid double numeration of attributes during the process.
  5. Minimum size: Size property reacts to the third point. The DM has to keep an eye on keeping the amount of attributes as small as possible.

Keeping the DC “How to enable the owners of small corner shops (“Spätis”) to offer a better shopping experience?” and the information gathered throughout the process in mind, the measures of effectiveness are displayed below and are linked to the three objectives.

  1. The creation of a supportive system among Späti owners
    1. Späti owners are meeting other Späti owners in order to exchange knowledge on legal rights

The team faced several situations where the Späti owners were acting stonewalled when asking about their children. The owners should have a place where they feel safe enough to talk about their legal rights and receiving advice from people that are facing the same problems.

  1. Späti owners are supporting each other with day-to-day tasks

Many Späti owners are facing similar challenges; the supportive system should not only act as a legal advisor but should also aim to help each other with daily tasks, such as picking up the children from school, making groceries, babysit each other’s children and so on.

  1. Maximize the child’s well-being in order to facilitate a carefree childhood
    1. Children are spending time with peers

As observed during the second DT phase, many children are supporting their parents with the running operations at the Späti. The aim is to provide the Späti owner’s children with a carefree environment where the children are surrounded by peers whom they can learn and play with.

  1. Children are receiving pedagogical care after school / kindergarten

This attribute is linked to the abovementioned one. Pedagogical care after the school or kindergarten should leverage the children’s ability to finish their school and to get as much support as possible. The aim is to create an environment for the children where they can learn and grow and not have to be the employees of the Späti.

  1. Minimize the workload of the Späti owners
    1. Less working hours for the owners with the aim to spend time with family

During their observations, the team realized that many shops are open 24/7. Based on their created persona the owners hardly have any free time. Therefore, the goal is to reduce the owner’s workload in order to create a joyful life where the owners are happy and can serve the customers in a friendly way.

The data gathered by the team throughout the course of three weeks in very limited and therefore, the next steps in this paper are based on assumptions and not on empirical data.

3.2.3.
rev

Our Service Portfolio

jb

Want To Place An Order Quickly?

Then shoot us a message on Whatsapp, WeChat or Gmail. We are available 24/7 to assist you.

whatsapp

Do not panic, you are at the right place

jb

Visit Our essay writting help page to get all the details and guidence on availing our assiatance service.

Get 20% Discount, Now
£19 £14/ Per Page
14 days delivery time

Our writting assistance service is undoubtedly one of the most affordable writting assistance services and we have highly qualified professionls to help you with your work. So what are you waiting for, click below to order now.

Get An Instant Quote

ORDER TODAY!

Our experts are ready to assist you, call us to get a free quote or order now to get succeed in your academics writing.