Rotational Dynamics Experiment

Print   

12 Mar 2018

Disclaimer:
This essay has been written and submitted by students and is not an example of our work. Please click this link to view samples of our professional work witten by our professional essay writers. Any opinions, findings, conclusions or recommendations expressed in this material are those of the authors and do not necessarily reflect the views of EssayCompany.

Introduction:

In this lab, we got to experiment with rotational dynamics. The definition of rotational dynamics would be; the study of forces and torques and their effect on motion, as opposed to kinematics (see ref. one). Instead of using the traditional symbols for velocity, acceleration, displacement, and theta; we use symbols for angular velocity, angular acceleration, and angular displacement. In this experiment we got to find the moment of Inertia of the rigid motor using masses, and measuring its parts geometry. Rotational motion is explained by Newton’s Second Law, and it states; the acceleration of an object is dependent upon two variables, the net force acting upon the object and the mass of the object (see ref. three)

analogiesdyn.png

Procedure

Determine the Rotor’s Moment of Inertia from Masses and Geometries.

Part 1

  1. First disassemble the rotor to measure the individual parts/components.
  2. Measure/ weigh each part of the rotor as necessary
  3. For any parts that can’t be weight directly, analyze its dimensions/density to figure out the mass.
  4. Reset the rotor, and the blocks in original position after measuring.
  5. Take a picture or memorize how the rotor apparatus appears so that when conducting part 2 the experiment is set up in the exact same way with the parts in the same position for part 1.

Part 2

  1. Check to make sure the rotor apparatus is set up in the same order as it is in part 1 and the components are in the same position.
  2. Put the rotor apparatus near the edge of the table so the weights dont hit the table, begin to level the rotor apparatus by using the carpenter level.
  3. Spool the string around the rotor being careful not to let rope overlap the rotor cylinder.
  4. Attach paper clips to the end of the string so the platform will move with constant velocity when pushed slightly.
  5. After enough paper clips are added, use the triple beam to weigh the mass of the paper clips.
  6. Since the CBR is only accurate at distances greater than 0.5 meters, the CBR must be arranged that distance or greater from the platform so it can record the motion as the platforms makes a lap around.
  7. Now spool up the string, make sure there are no overlaps and attach the .05 kg weight hanger to the string.
  8. Set up the TI-84 and the CBR
  9. Let the weighted hanger fall at the same time that you begin the CBR in order to record the data points. Now repeat these steps for your different weights 0.100kg, 0.150kg, 0.200kg, and 0.250kg

Method/ Theory:

The very first step in this experiment was to find the moment of inertia. The equation for inertia of a rigid body would be;

I =

Each part of the body was divided into different parts. Measuring the mass of each and multiplying it to the position vectors of each. By applying Newton’s Second Law we get this equation;

20141118_182231.jpg20141118_182338.jpg20141118_182243.jpg

Equipment:

1 Rotor Apparatus

1 TI-CBR ( Calculator Based RANGER [Sonic Motion Detector])

1 Triple Beam Balance

1 Vernier Caliper

1 Meter Stick

1 Set of Weights

1 TI 83 calculator

1 Carpenter’s Level

References:

  1. Dynamics (mechanics). (2014, November 18). Retrieved November 21, 2014, from http://en.wikipedia.org/wiki/Dynamics_(mechanics)
  2. Serway, Chapter 10, (rotational motion), sections 10.1-10.6
  3. Newton's Second Law. (n.d.). Retrieved November 21, 2014, from http://www.physicsclassroom.com/class/newtlaws/Lesson-3/Newton-s-Second-law
  4. Ellis, Steven L. “Experiment 5 Rotational Dynamics.” Labatory Manual. University of Kentucky, department of Physics and Astronomy Physics 241. Fall 2011

Group Meetings:

11/9/2014 4:30 PM – 6:20 PM

Performed Part 1 of Rotational Dynamics

11/9/2014 Directly After Lab

Our first group meeting was on the day of our lab. We met right after our lab was completed to discuss each member's role in the lab report/experiment. We discussed how we were each going to do our parts.

11/18/2014 4:30 PM –6:20 PM

Performed Part 2 of Rotational Dynamics

11/18/2014 Directly After Lab

On this day we discussed work that had been completed thus far for Part 1 and analyzed our data according to the purpose of the experiment. We checked to make sure each member had done what they were expected to do.

11/28/2014 6:00 PM

On this day we discussed the changes that needed to be made in order to ensure that we correctly fulfilled the requirements of this lab. Our rough draft was due on December 2 nd,

12/3/2014 After talking to the TA

1:00 PM

On this day our group looked over the corrected rough draft and made changes and improvements for our final. Our Principal investigator and skeptic worked together through email in order updates the results and conclusions

Data & Calculations

Mass and Geometric calculations

Equ (1):

Equ (2): (Inertia of a rectangular plane where a is the length and b is the width)

Equ (3): (Inertia of a solid cylinder with an axis through the center with the radius = R)

The chart1 below shows the object mass, the distance from the center, the dimensions and inertia. Chart1 shows the total inertia when all parts are combined

Since parts of the rotor apparatus where hard to find directly, the groups was able to use the find the mass using density and objects dimensions. An example of this was the central axle, in which the group used its density to identify its mass. Here is a sample calculation below.

After measuring the dimensions of the central axle the group got 0.192m by 0.0121m diameter

formula:

The density of steel was used to calculate the mass of the central rod . Steels density is 7.85g/

mass = (density)X(volume)

The same process was used to figure out the mass of the axle pulley. The small holes in the axle pulley would create an insignificant difference in the inertia, we decided to consider the pulley to be a solid cylinder to simplify calculations . The same equations were used to find the volume of the axle pulley.

The diameter of the axle pulley was 0.0562m and the height was 0.001m

This axle pulley is has a density of 2.70 g/since it is made of aluminum

I can now be calculated using the geometric equations from above since we know the dimensions and the masses of the components for the rotor apparatus.

For this part of the calculation, this equation was used

, h = distance from center

The I of the rectangles is calculated using the equation 2 from above which is:

Rectangle 1:

Rectangle 2:

Platform:

Central Axle:

The equation 3 will be used for the central axle to solve for .

Axle Pulley:

Circular Weight:

Total Inertia:

Adding all the component inertia sums up to:

Method Cont.:

After calculating the necessary values for inertia, we then proceed to step two of the experiment, where we use the CBR devise to calculate rotational dynamics.

 

Table 1: Frictional Torque

 

M (kg)

Ft (N)

τ =RaxleFt (Nm)

0.0231 kg

0.225918 N

2.711 E-3

In table 1, we first weight the amount of paper clips used, which we got 0.0231 kg. Then we used Newton’s Second Law to find Ft .

Ft = mg = (0.0231 kg) * (9.78 m/s^2) = 0.225918 N

τ =RaxleFt (Nm) = (0.012 m) * (0.225918 N) = 2.711 E-3 Nm

Table 2 through table 6 shows the values of time for t, t and t (results are from the CBR; when using (x) mass.)

Table 2: Hanging mass = 50g

 

t

t

t

T [s]

ω [rad/s]

1

1.26

3.70

5.14

3.88

1.619

2

3.70

5.14

6.14

2.44

2.575

3

5.14

6.14

7.10

1.96

3.206

4

6.14

7.10

7.73

1.59

3.952

5

7.10

7.73

8.52

1.42

4.425

 

Slope = α

0.31322

[rad/s]

   

Table 3: Hanging mass = 100g

 

t

t

t

T [s]

ω [rad/s]

1

2.73

3.70

4.65

1.92

3.272

2

3.70

4.65

5.30

1.6

3.927

3

4.65

5.30

5.96

1.31

4.796

4

5.30

5.96

6.61

1.31

4.796

5

5.96

6.61

7.07

1.11

5.661

 

Slope = α

0.7036

[rad/s]

   

Table 4: Hanging mass = 150g

 

t

t

t

T [s]

ω [rad/s]

1

3.55

4.34

5.00

1.45

4.333

2

4.34

5.00

5.47

1.13

5.56

3

5.00

5.47

5.97

0.97

6.478

4

5.45

5.97

6.44

0.97

6.478

5

5.97

6.44

6.94

0.97

6.478

 

Slope = α

0.8666

[rad/s]

   

Table 5: Hanging mass = 200g

 

t

t

t

T [s]

ω [rad/s]

1

2.318

3.095

3.684

1.366

4.5997

2

3.095

3.684

4.202

1.107

5.676

3

3.684

4.202

4.734

1.05

5.686

4

4.202

4.734

5.166

0.964

6.518

5

3.684

5.166

5.583

1.899

3.309

 

Slope = α

1.4856

[rad/s]

   

Table 6: Hanging mass = 250g

 

t

t

t

T [s]

ω [rad/s]

1

2.153

3.016

3.612

1.459

4.307

2

3.016

3.612

4.123

1.107

5.676

3

3.612

4.123

4.547

0.935

6.72

4

4.123

4.547

4.993

0.87

7.22

5

4.547

4.993

5.338

0.791

7.94

 

Slope = α

1.428

[rad/s]

   

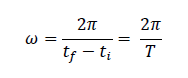
In the previous tables T was calculated as . Omega calculated as;

Logger Pro Data

logger1.jpg

logger2.jpg

logger3.jpg

logger4jpg.jpg

logger5.jpg

torque calculations table:

Table 7

 

Hanging Mass [kg]

F= mg [N]

τ =RaxleFt (Nm)

α [rad/s

1

0.050

0.489

5.868 E-3

0.31322

2

0.100

0.978

0.011736

0.7036

3

0.150

1.467

0.017604

0.8666

4

0.200

1.956

0.023472

1.4856

5

0.250

2.445

0.02934

1.428

 

Slope = I = 0.0234kg/m2

Intercept = τfric

0.001 = Nm

   

Table 8 shows the moment of inertia of each component and the total inertia.

Table 8: Moment of Inertia Data

Self Constructed

Component

Inertia [kg/m

Rectangle 1

0.008421596

Rectangle 2

0.0041855466

Platform

0.012200569

Central axle

3.5411 E-6

Axle pulley

5.251 E-6

Circular weight

3.7696 E-6

Total inertia

0.024819914

Discussion & Analysis

Sources of Error

Every experiment tends to have its uncertainties when measuring in the laboratory. Using these uncertain measurements creates uncertainties in the final results of the lab. These uncertainties in experiments can stem from measurements taken as well as our tools used. The errors are associated with our measurements taken. Included would be the length and mass measurements. These errors lead to our calculated moment of inertia values to have uncertainties. Even the CBR used in the experiment caused uncertainty in our final results and conclusion.

These errors for the experiment were

±0.0005 m for measurements taken using the measuring tape which includes the changes in width,length, and height.

±0.00005 g for measurements taken using the triple beam balance such as the change in mass.

Propagation error

For the first part of the experiment the moment of inertia for the system was calculated. In order to do this the components of the system inertia was added up. The individual parts included were the circular weight, the platform, the central rod, and the axle. The screw attached was neglected in this experiment. These components each had uncertainty associated with them which led to uncertainty in the final calculation of the moment of inertia.

We broke this equation up into each individual moment of inertia for each object and solved for the total error.

Rectangle 1

Formula:

W = Width

L = Length

M= Mass

h = distance from rotation

The propagation of error for , the partial derivatives for given equation for W,M, L, and h.

The propagation of error for the rectangle’s moment of inertia is found by solving for these values above and plugging them into the general formula below.

Next pluggin in the values above we get:

Rectangle 2

This same process was carried out for 2nd rectangle since it has the same formula for moment of inertia as the first one.

The propagation of error for the rectangle’s moment of inertia can be determined by solving for these values above and plugging them into the general formula below.

Plugging in the values above we get:

Circular Weight

For the circular weight we use the formula:

Where,

M= Mass

R= Radius

To find the propagation of error for I we used the partial derivatives of the given equation for M and R.

The propagation of error for the rectangle’s moment of inertia can be determined by solving for these values above and plugging them into the general formula below.

Plugging in the values above we get:

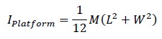
Platfrom

For the platform we use the formula below:

Where,

M= Mass

L = Length

W = Width

To find the propagation of error for IPlatform we used the partial derivatives of the given equation for M, L, and W.

The propagation of error for the platform’s moment of inertia can be determined by solving for these values above and plugging them into the general formula below.

Plugging in the values above we get:

Axle

For the axle we used the formula below:

Where,

M= Mass

R= Radius

To find the propagation of error for I we used the partial derivatives of the given equation for M and R.

The propagation of error for the axle’s moment of inertia can be determined by solving for these values above and plugging them into the general formula below.

Plugging in the values above we get:

Axle Pulley

For the axle pulley we used the formula below:

Where,

M= Mass

R= Radius

To find the propagation of error for I we used the partial derivatives of the given equation for M and R.

The propagation of error for the axle’s moment of inertia can be determined by solving for these values above and plugging them into the general formula below.

Plugging in the values above we get:

Part 2

For the second part of the experiment our group used rotational dynamics as well as the CBR to find the moment of inertia for the system and the frictional torque of the axle. The group applied different forces to the system using different masses. The group calculated the angular acceleration caused by these forces by using the CBR. The slope of the graph for the applied torque vs. angular acceleration gave us the moment of inertia of the system.

Frictional Torque

F=mg

The equation can be put into different parts and solved for the propagation of error in the frictional torque.

R = radius of axle

m = mass of paper clips

g = gravity

To find this propagation of error we take the partial derivatives of R, m, and g and put them into the original equation for the frictional torque which is shown below:

Angular Velocity

The average angular velocity was found next in the second part. We used the equation below:

Taking the partial derivative

A sample calculation for this error is done from table 2 trial 1

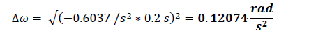
Angular Acceleration

For the next step in part II, a graph of each trial with five values of angular velocity vs. time was plotted. The average slope of these lines is our angular acceleration for that trial. The uncertainty of our calculated angular acceleration is half the difference from the smallest to the largest measured value for angular acceleration of each trial, which is:

The calculation for this from Table 7 is:

Torque

The calculation for the torque applied on the axle is almost the same as frictional force except we use the particular mass that was used in the trial for m.

To find the propagation of error in the applied torque was found by taking the partial derivatives from the equation above and plugging them into the general formula for the propagation of error, shown below:

sample calculation for the first trial of Table 2 in our raw data is shown below:

Moment of Inertia

Now that we have all the values for frictional torque, applied torque, and the angular acceleration we can calculate the moment of inertia from the equation below:

The error for this calculation can be found by taking the partial derivatives of the equation and plugging the formulas into the general formula for the propagation of error, shown below:

We find the total error of the moment of inertia to be:

An example calculation for this value is shown below from Table 7, trial 1 in our raw data:

Results and Conclusions

In experiment 5 our main objective was to find the moment of inertia of a rigid rotor from the masses and geometry of its parts and from the application of Newton’s Second Law for rotational motion. Hence, that is what we did for each component and recorded these results in chart form. Since each one of the components had different shapes, solving for each one’s inertia, required different methods. Such as; when calculating inertia for the square weights and platform, we used this equation; As for the other components like axel and central rod we first calculated the volume, then calculated the mass from its density then we finally proceeded into calculating the inertia. We then calculated the total inertia also with the error, our results were; 0.024819914 kg*mand error of 1.0878 E-4 kg*m. After completing part one, continued to part 2 where we used the CBR to record and then calculate moment of inertia from the graphs on logger pro. Before recording with the CBR, we would add different masses from the rotor causing the system to spin. We started my measuring velocity vs time to calculate acceleration then we plotted torque vs angular acceleration to find the slope. We found our moment of inertia to be

The number line above presents the moment of inertia from using masses and geometry in part 1 and using dynamics in part 2. The difference between the two may have been caused by the systematic and random errors. All these errors affected the values that we used to find the moment of inertia and helps to explain why our values are not exact. Despite these few errors, our values were still close to each other.

In the experiment we were to also find the value of frictional torque. We calculated our frictional torque

We found another value for frictional torque using the graphs and the five trials of data. Creating a new graph from the five trials we calculated the y-intercept which is the frictional torque. This value was very close to and in the range of the value in the other table. There were still some possible systematic and random errors involved in finding the frictional torque as discussed in the skeptic portion of this lab. But even with these potential sources of error, our values for frictional torque turned out to be very similar.

Overall, the experiment had us use two distinct methods to analyze rotational dynamics. Despite having very close results between the two methods, based on our calculations for the moment and inertia and friction torque, we determined that using the calculated measuring method instead of the CBR method is considerably more accurate and has much less error. For both the moment of inertia and frictional torque, our results were seemingly accurate and fell in similar ranges, but we felt that the parts we actually calculated, such as Part 1, had considerably better precision because there was less percent error. This lab helped us to understand the concepts of moment of inertia and frictional torque better by using both the measurements we calculated and the graphs from the CBR.

Pre-Lab Questions:

Question 1: Due to the presence of the pulley, which of these tension forces (Ft) is larger? Explain.

The tension of the string between the hanging mass and the pulley will be greater because the gravity is also causing a force which is pulling in the same direction as the mass. The tension force between the axle of the rotor and the pulley does not have gravity acting in the same direction as they are, which makes the tension between the pulley and hanging mass greater than the tension between the axle of the rotor and the pulley.

Question 2: Show that according to Eqn. (3), a graph of Tapp vs will be a straight line with slope equal to I and intercept equal to Tfric.

By rearranging equation 3, we can calculate a line with a slope m=I and a y-intercept b= Tfric

We find the line to be: Tapp =I + T fric

Question 3: The approximation Ft=mg was explained in the Pre-Lab. Now explain why.=R axle Ft

 

R

Torque is equal to the applied force multiplied by the distance of the applied force. So, the torque is equal to Ft (force of tension in the rope) multiplied by Raxle .

Στ = Iα

Moment of inertia (I) = mr², Στ = mr2α

Tangential acceleration (at) = rα, Στ = mr at

Force (Ft) = ma, we get: Στ = Ftr or |τ| = Raxle Ft



rev

Our Service Portfolio

jb

Want To Place An Order Quickly?

Then shoot us a message on Whatsapp, WeChat or Gmail. We are available 24/7 to assist you.

whatsapp

Do not panic, you are at the right place

jb

Visit Our essay writting help page to get all the details and guidence on availing our assiatance service.

Get 20% Discount, Now
£19 £14/ Per Page
14 days delivery time

Our writting assistance service is undoubtedly one of the most affordable writting assistance services and we have highly qualified professionls to help you with your work. So what are you waiting for, click below to order now.

Get An Instant Quote

ORDER TODAY!

Our experts are ready to assist you, call us to get a free quote or order now to get succeed in your academics writing.

Get a Free Quote Order Now