Nanostructure Optical Biosensors

Print   

12 Mar 2018

Disclaimer:
This essay has been written and submitted by students and is not an example of our work. Please click this link to view samples of our professional work witten by our professional essay writers. Any opinions, findings, conclusions or recommendations expressed in this material are those of the authors and do not necessarily reflect the views of EssayCompany.

5.1 Mach–Zehnder nanowire biosensor for detection of E.coli

Silica nanowires [208] offer several advantages over other types of nanowires since they are based on materials used in the most important photonic and opto-electronic applications within the visible and the near-infrared ranges and as a result their optical properties are familiar [209].

Light guided along the optical nanowire leaves a large fraction of the guided field outside the wire as evanescent waves [210], [211] making it highly sensitive to the index change of the surrounding medium. Phase shift of the guided mode caused by index change of the surrounding medium is used as a criterion for sensitivity estimation. Our simulation shows that optical nanowire waveguides are very promising for developing high-sensitivity optical sensors of significantly reduced sizes.

In the aforementioned work, changes in the optical field profile, the power confinement, and the propagation constant of the guided optical mode along the sensing arm have been studied. In the present work, the aforementioned structure has been analyzed using the more rigorous and versatile FEM approach and the variation of the effective index; the optical power distribution of the guided optical mode in both the reference and the sensing arm of the sensor have been studied, by optimizing the sensitivity of important silica nanowire parameters, such as the fibre core diameter, the specimen refractive index, the wavelength, and the temperature.

5.2 Mach–Zehnder based sensor structure

The proposed Mach–Zehnder-based biosensor system is formed by using two uniform silica nanowires: one used as a reference arm and the other as a sensing arm is presented in Figure 5.1(a). Both arms are immersed in aqueous solution and the surface of the sensing arm is silanized and biomodified with specific receptors for higher selective detection. A layer around the wire is formed by the complex of chemical linker, antibody and E.Coli respectively as shown in the cross section of the composite waveguide in Figure 5.1(b).

The chemical linker is MUDA [mercapto undecanoic acid], its RI is 1.463 and thickness is 1.69nm and is used as linker for antibody (RI is 1.41 and thickness is 2.98nm) and the target antigen is E.coli with average RI of 1.37 and average thickness of 0.4 – 0.7 microns [212].

(a)

(b)

Figure 5.1: Schematic diagram of (a) the proposed sensor and (b) the cross section view of the composite waveguide, with a specimen layer.

A probe light that is launched through the nanowire propagates through the first 3 dB coupler, operating as an optical splitter, which divides it between the sensing and the reference arms, and it finally recombines via the second 3 dB coupler, working as an optical combiner, as shown in Figure 5.1(a). The phase shift caused by the index change due to the specimen placed in the sensing arm is numerically calculated and evaluated from the simulated signal output of the lower nanowire, as presented in Figure 5.1(a).

5.2.1 Modal Solution

Initially, the optical properties of the reference and the sensing arm of the single mode silica nanowires immersed in aqueous solution have been examined, where the latter is coated with the linker, antibody and E.coli under detection and the 3-D optical field profile of the mode of the two arms, for a core diameter, D, of 400 nm is presented in Figure 5.2.

Figure 5.2: (a) 3-D field profile of the Hx mode for the reference and the sensing arm for D = 400 nm

The refractive index of the single-mode silica nanowire and the aqueous solution were considered to be 1.482 and 1.355, respectively, at an operating wavelength of 325 nm [213].

As can be seen from the field profiles of the optical mode for a core diameter, D, of 400 nm, in the reference arm shown in Figure 5.2 (a), the optical field is more confined in the silica core and the aqueous solution does not have much effect on the field profile. However, for a core diameter, D, of 400 nm, in the sensing arm shown in Figure 5.2 (b) a small change in the refractive index profile produces a larger change in the field profile. As can be concluded evanescent field in the sensing arm expands more outside due to change of refractive index in the aqueous solution.

The optical field confinement in the reference and the sensing arms can be better viewed from the normalized field profile along the horizontal (x)-axis, as presented in Figure 5.3 for nanowire core diameter, D, of 150 nm. As can be seen from the earlier curves in Figure 5.3, the normalized optical fields for the reference and the sensing arms have small variation in the optical field profile.

Figure 5.3: Hx along the x axis for a fibre diameter of D = 150 nm.

5.2.2 Effective Index Variation

Next, the variation of the effective reactive index of Hx11 in the reference and the sensing arms with the silica nanowire diameter, D, has been examined, and the results are presented in Figure 5.4. Here, the effective index of the reference arm and the effective index difference between the two arms is plotted against core diameter, over a range of 100 nm to 800 nm. As can be seen from the aforementioned characteristics, as diameter, D, decreases, the effective index also reduces, and the rate of reduction slowly increases. The effective index difference between the reference and the sensing arm is presented in Figure 5.4. It is shown in the Figure 5.1, the effective index difference between the reference and the sensing arm decreases with the increase of the core diameter. However, for a core diameter, D, of 100 nm, peak value in ∆neff is obtained and as the core diameter increases the effective index difference decreases.

Figure 5.4: Effective index (ne) and effective index difference (∆neff) between the reference and sensing arms as a function of the fibre diameter (D).

The effective index of the sensing arm is higher than the reference arm. It is due to increase of refractive index in the sensing arm with the addition of linker, antibody and E.coli. It can be noted that as the nanowire diameter is increased, the effective index asymptotically approaches that of the Silica refractive index, when most of optical power is confined in the Silica core. The effective index is dependent on the refractive index of surrounding medium. Therefore, single mode nanowires are suitable for sensing elements and sensitive to the index change of the surrounding medium.

Figure 5.5: Change in effective index (ne) and effective index difference (∆neff) as a function of the wavelength (λ)

Next, the effective index for the reference arm and the effective index difference between the reference and the sensing arms are presented, with the variation of the wavelength, in Figure 5.5. As can be seen from the Figure 5.5, the effective index of reference arm decreases with the increase of the wavelength and the effective index difference increases linearly with the increase of the wavelength for core diameter of 400 nm. When the wavelength increases, the mode is weakly confined and penetrates more into the sensing region of the sensing arm hence increases the effective index. However, when the wavelength decreases, the mode is well confined and decays more into the core region hence decreases the effective index of sensing arm.

5.2.3 Power confinement

Further, the power fraction in the aqueous solution for the reference and the sensing arm has also been studied with the variation of the nanowire core diameter and the result is presented in Figure 5.6. As can be seen from the aforementioned characteristics, for a core diameter, D, of 100nm the field extends mostly in the aqueous solution for both the reference and the sensing arms. However sensing arm exhibits more power in the aqueous solution than the power in the aqueous solution of reference arm. It is due to refractive index change in the aqueous solution of sensing arm when target antigen (E.Coli) is attached to immobilised antibody. As the value of D is increased further, the power in the aqueous solution is reduced since the field is more confined in the core region.

Figure 5.6: Power fraction in aqueous solution for the sensing and the reference arms as a function of the fibre diameter (D).

The change of the power fraction in the different regions of the sensing arm has been studied and is presented in Figure 5.7. As can be seen from the characteristics, shown in Figure 5.7, when the wavelength increases, the mode is weakly confined, and hence, less power is seen in the core region and more power is present in the cladding aqueous region. The mode is well confined for smaller wavelength values and more power is present in the core silica region. However, as the wavelength increases, the mode becomes weakly confined and more power is present in the aqueous solution region compared to the silica core region.

Figure 5.7: Power fraction for the sensing arm as a function of wavelength for a fibre diameter of D = 400 nm

5.2.4 Effect of thickness

Next, the change in the propagation constant β of sensing arm and the power fraction in the aqueous solution of sensing arm as a function of the E.Coli thickness, for a core diameter of D = 400 nm, have been investigated and are presented in Figure 5.8. As the E.Coli thickness increases, both the propagation constant and the power fraction in the sensing arm decrease linearly.

Figure 5.8: Change in propagation constant (β) and power fraction in the E.coli with the variation of the E.coli thickness.

As the thickness of E.coli increases the power fraction in the sensing arm and propagation constant of the sensing arm mode decreases with the increase in thickness of E.coli. This is due to the penetration of evanescent field into the sensing region decreases with increase of E.coli thickness. With the increase of sensing layer thickness evanescent field will not penetrate deep into the sensing region. However smaller nanowires with diameter of 100 nm and 200 nm may be used to penetrate more evanescent field into the sensing region.

5.2.5 Sensitivity

The effective index change is produced either by a change of cover medium refractive index (homogeneous sensing) or by a change of thickness of E.coli which is immobilized on nanowire (surface sensing). Adlayer thickness and change of cover medium refractive index affects the effective index of the propagating optical mode. Measurement of sensitivity depends on optical field distribution in the sensing medium therefore the most important design task is to maximize the sensitivity of the biosensor.

Figure 5.9 shows the change in effective index and waveguide sensitivity decreases with the increase in diameter, D, of silica nanowire. The larger effective index variation and waveguide sensitivity is achieved at a D = 100 nm. The greater the change in ∆neff more sensitive the biosensor will be. Therefore, when D = 100nm maximum index difference is achieved. When the nanowire dimension becomes too large, most of the power is confined in the silica core and a smaller effective index difference is achieved hence lesser sensitivity.

Figure 5.9: Variation of effective index difference, ∆neff and waveguide sensitivity with Diameter, D (nm), of silica nanowire.

When designing a sensor, the sensitivity is a very important parameter to evaluate the device performance. To study the sensitivity of our device, we use the sensor to detect the change in the effective index of mode with the change in the refractive index of surrounding medium. When there is an extremely small index change around the nanowire, the guided light is changed in its optical phase. We assumed the sensing area length, L = 75µm. Calculated Δneff is about 0.0131/μm at the wavelength of 325 nm induced by coating the nanowire with E.coli layer for a 400nm diameter silica nanowire.

C:\Users\tdar\Downloads\sensitivity.png

Figure 5.10a: Sensitivity of the sensor as a function of the wavelength

The phase shift (Δφ) of the sensing arm can be obtained as;

(5.1)

Where L is the effective length of sensitive area and Δneff is the effective index difference between the sensing arm and the reference arm, respectively. It is shown in the Figure 5.10a that the sensitivity of the device decreases with the increase in the wavelength and higher sensitivity of 697nm/RIU is achieved at wavelength of 325 nm. For comparison, the sensitivity of conventional Mach–Zehnder sensors based on integrated planar waveguides is much lower [209], showing that much higher sensitivity, or equivalently much smaller size can be achieved when sensing with silica nanowires.

Figure 5.10b shows the variation of output power as a function of wavelength. MZI has two arms, one is used as sensing arm and another used as reference arm. The sensing arm is where the interaction between the biolayer and the optical signal takes places. After the propagation in these two arms, the two optical signals accumulate a phase shift Δφ. The optical power (Pout) at the exit of the interferometer is determined by the phase difference Δφ between the two waves at the junction which can be obtained as;

Pout = 1+Cos Δφ (5.2)

Figure 5.10b: Combined power as a function of wavelength, λ (nm)

In all variation of the wavelength, Δφ ≠ 0, this is caused by the deposition of a biolayer around the sensing arm, therefore, the optical output power is different too in all variation of the wavelength.

5.3 Slot-waveguide biosensor for detection of DNA hybridisation.

Slot waveguides present an interesting alternative when compared to rib or strip waveguide based biosensors where light is predominantly guided in the high index material. The light thus has little interaction with the biomaterial. This is a drawback for biosensing applications where small refractive index variations caused by biomolecular interactions are monitored. In case of slot waveguide, light is confined in a low index slot region sandwiched between two high index rails. Due to the discontinuity of the electric field at the interface between the rails and slot, a significant fraction of the electromagnetic field is localized in the slot.

The sensitivity of an optical waveguide sensor relies on the amount of light in the medium to be sensed. Due to the increased amount of power confined in the slot region higher sensitivities will be achieved as compared to other waveguide based biosensors.

Author of [128] has compared conventional slot waveguide, slot rib waveguides and Si wire for sensing of aqueous solution. However the work presented here is based on the slot waveguide micro ring resonation for the detection of DNA Hybridization - binding of complementary DNA strands (targets) to DNA probes. Moreover we have calculated wavelength shift, device sensitivity, detection Limit, and power density and compared with the experimental work published in [214], [215], [216] and [217].

In the present work, the H-field Finite Element Method (FEM) based full-vector formulation is used for the solution of the TE and TM Slot Waveguide modes where the TE mode is highly confined in the slot region as compared to TM mode. In the FEM, a problem domain can suitably be divided into a patchwork of a finite number of subregions called “elements”. Each of the elements can have different shapes and sizes and by using many elements a complex problem can be accurately represented. In using the aforementioned approach, the field distribution in the transverse plane is obtained by the application of the variational formulation in the region. More recently, slot waveguide based biosensors have been investigated using Finite difference time domain method (FDTD) and Finite Element Method [218,219,220].

In the present work by optimising the slot waveguide parameters such as the slot width, guide width and guide height a compact biosensor is proposed. The aim of this work is to provide a novel comprehensive analysis defining the modal characteristics, effective index variation of ssDNA and dsDNA, surface sensitivity and power confinement in the DNA layer of a slot waveguide biosensor with a nanoscale cross-section, and in doing so, the effects of the critical size of such waveguide are also presented. To undertake such analysis, an accurate and numerically efficient vector-H-field finite-element method (VFEM) [221] is used to calculate the propagation constant, effective index, power confinement factor and the full-vectorial modal field profiles of the waveguide. The full-vectorial electric field (E) is also derived from the vector H-field obtained to characterize modal properties of such waveguides.

5.3.1 Slot waveguide structure

DNAStructure

Figure 5.11: Slot Waveguide Biosensor

A slot waveguide is investigated for the biosensing applications. The slot waveguide is formed by two Si wires close to each other having nanometer dimensions as shown in Figure 5.11. Refractive index (RI) of silicon, silicon oxide and water is taken as 3.476, 1.444 and 1.31 respectively at an operating wavelength of 1550nm. The sensing structure is first coated with a linker layer (silanes) whose refractive index is taken as 1.42 [222] having a thickness of t=1 nm. The refractive index of ssDNA and dsDNA is taken as 1.456 and 1.53 [223] respectively. The thickness of the DNA probe layer is taken as n=8 nm and remains unchanged when binding of complementary DNA strands (targets) to DNA probes happens i.e., only refrective index changes from 1.456 (ssDNA) to 1.53 (dsDNA).

A waveguide height, GH = 320 nm and high index region width, GW = 180 nm [128], slot width, SW = 100 nm, linker layer thickness of t=1 nm and DNA probe thickness of n=8 nm is considered for the initial simulation study.

5.3.2 Modal solutions

In the study of modal field profile, the H-field based VFEM is used to obtain the modal solutions of such a waveguide. For this study, due to the availability of two-fold symmetry of the waveguide structure, only a half of the structure is considered, in which more than 80,000 irregular sized first order triangular elements have been employed to represent the waveguide structure. It takes about 2 minutes cpu time on a dual-core Pentium processor computer running solaris platform.

TE Contour.jpg

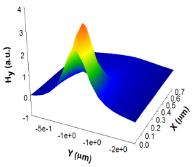
Figure 5.12: Hy field of the Hy11 mode Figure 5.13: Hy Contour of Hy11 mode

The structure supports both fundamental quasi-TE and quasi-TM modes. For the quasi-TE mode the Hy field component is dominant, and Hx and Hz are the nondominant components. The dominant Hy field component of the Hy11 mode is shown in Figure 5.12 for the waveguide width, GW = 180 nm and height, GH = 320 nm

In its contour plot as shown in Figure 5.13 it is clearly visible that the modal confinement is much stronger in the slot region. Due to the large index contrast at interfaces, the normal electric field undergoes a large discontinuity, which results in a field enhancement in the slot region.



rev

Our Service Portfolio

jb

Want To Place An Order Quickly?

Then shoot us a message on Whatsapp, WeChat or Gmail. We are available 24/7 to assist you.

whatsapp

Do not panic, you are at the right place

jb

Visit Our essay writting help page to get all the details and guidence on availing our assiatance service.

Get 20% Discount, Now
£19 £14/ Per Page
14 days delivery time

Our writting assistance service is undoubtedly one of the most affordable writting assistance services and we have highly qualified professionls to help you with your work. So what are you waiting for, click below to order now.

Get An Instant Quote

ORDER TODAY!

Our experts are ready to assist you, call us to get a free quote or order now to get succeed in your academics writing.

Get a Free Quote Order Now