Analysis of Optical Imaging Technologies

Print   

12 Mar 2018

Disclaimer:
This essay has been written and submitted by students and is not an example of our work. Please click this link to view samples of our professional work witten by our professional essay writers. Any opinions, findings, conclusions or recommendations expressed in this material are those of the authors and do not necessarily reflect the views of EssayCompany.

PAI is a relatively new imaging modality which displays optical absorption contrast with a high resolution at depths of up to a few centimetres. Tissue is illuminated using short laser pulses and ultrasound waves are generated within the tissue upon optical absorption. An image is formed of the optical absorption contrast based on the arrival times and amplitudes of the acoustic waves (Wang 2009, Lai and Young 1982, Sigrist and Kneubuhl 1978, Jaeger 2007). It began in the late 19th century, when Alexander Graham Bell discovered the extraordinary effect of sound being generated because of absorption of intermittent sunlight (Bell 1880, 1880a). It was not until the 1970s and 1980s that research in this field took off, with the advent of modern pulsed lasers and materials and electronics for acoustic detection and recording.

Pulsed laser light, indeed, is used in the majority of PAl techniques in order to illuminate the sample of interest. The succession of phenomena that occur after light exposure is shown in the following list (Wang 2009, Xu and Wang 2006):

  • Light absorption: the molecules that absorb light, start vibrating and this continues until the illumination ceases.
  • Temperature rise: the vibration locally increases the temperature for the period of illumination, after which the temperature decays.
  • Thermoelastic expansion: because of the thermoelastic effect, the heated area tends to expand, with a local increase in pressure for the period of illumination if this happens to quickly for expansion to occur.
  • Acoustic emission: the transient pressure variation propagates away from the transiently heated region.

The initial studies were based upon gas-phase analysis, in which gases, depending upon their physical properties would absorb specific wavelengths of pulsed laser radiation, generating acoustic signals recorded by a microphone (Tam 1986, Meyer and Sigrist 1990). It wasn’t until the mid-1990s that biomedical applications of photoacoustics were reported (Kruger 1995, Esenaliev 1997, Hoelen 1998) and from that point, until now, the field has witnessed unprecedented growth to a stage where imaging systems are commercially available.

The generation of PA signal can be understood by dividing the phenomenon into two domains: ‘Optical’ and ‘acoustics’ (Kruizinga 2010). In the optical domain, the pulse of light incident on the body surface above the site of interest, penetrates and travels diffusely through the different layers and encounters regions where it is absorbed, causing the generation of heat, which results in volumetric expansion. If this heat is deposited in a short enough time using a nano- or femtosecond laser pulse, then there is no time for dissipation of heat into the surrounding medium nor dissipation of the stress due to the heat-induced increase in pressure, and a transient disequilibrium arises, because of the difference in pressure inside and outside the region of heat deposition. This results in the generation of acoustic emissions, which propagate to be detected at the body surface via the acoustic domain. In the next few sections, these two sub-domains (optical and acoustic) will be explained, followed by a brief outline of the possible imaging applications of PAI.

2.1.1 Optical domain

In medical imaging, the wavelength range of 650 nm to 1300 nm is often referred to as the `tissue optical window', wherein the tissue components, primarily haemoglobin, water and melanin absorb minimal light, allowing greater penetration of the photons than at other wavelengths. The two processes that dominate in light interacting with tissue are `scattering' and `absorption'. The strength of these interactions heavily depend on the wavelength of the light used and the components of the interacting tissue.

Before looking into the optical domain, it is necessary to define some common optical parameters and quantities, as listed in Table 2.1.

Optical parameters

Definitions

Absorption coefficient

Probability of photon absorption in the medium per unit path length. In tissues, it has a representative value of 0.1 to 10 cm-1 (Cheong et al. 1990)

Mean absorption length

Reciprocal of , because it corresponds to the mean path length that the photon has to travel before it encounters an absorption event.

Scattering coefficient

Probability of photon scattering per unit path length. Its representative

value in tissues is 100 cm-1(Cheong et al. 1990)

Scattering mean free path.

Reciprocal of , because it corresponds to the mean path length that the photon has to travel before it encounters a scattering event.

 

Table 2.1. Definitions of some common optical parameters and quantities

With these parameters, it is possible to define the extinction coefficient , as in Equation 1.1[JCB1]. Its reciprocal would be the mean free path between any absorption or scattering events.

. (1.1)[JCB2]

In order to take into account the anisotropy of light scattering, while evaluating the scattering property of a tissue (as it contains a combination of organelles and cells, ranging in size from nm to μm), another scattering coefficient is defined (Cheong et al. 1990). It is called the reduced (or transport) scattering coefficient and it is equal to:

, (1.2)

where g is the anisotropy factor, which is around 0.9 for tissue in the Vis-to-NIR [JCB3]wavelength range.

The approximation of light transport through tissue is given by the diffusion theory. Here the attenuation (a) of light is approximated per unit length d with the use of Beer's law , and the effective attenuation coefficient µeff [JCB4]is given by (Cheong et al. 1990, Oraevsky et al. 1997):

, (1.3)

Unlike the all-optical imaging modalities, the resolution of PAI does not suffer heavily from the scattering of photons. In fact, scattering within the tissue lead to a more homogenous distribution of photons, which can be useful for effective PA wave generation.

The limiting factor that PAI shares with other optical techniques is the low penetration depth of light in tissue. Nevertheless PAI only requires the delivery of light in one direction, and ultrasonic scattering is two to three orders of magnitude weaker than optical scattering in tissue. Therefore PAI allows for high spatial resolution much deeper within tissue than all-optical imaging, and can image to much greater depths than most of the other optical imaging techniques.

2.1.2 Acoustic domain

The imaging principle of PAI does not rely on the reflection of an acoustic wave, as in ultrasound imaging, but rather on the detection of an acoustic wave generated from absorption of light.

The generation of PA [JCB5]waves occurs only when the incident laser pulse [JCB6]length satisfies the stress confinement condition (Xu and Wang 2006, Jacques 1993). The stress confinement criterion is satisfied when the laser pulse length is shorter than the time ( ) for the stress waves to dissipate from the region of optical absorption:

,(1.4)

where, is a representative linear dimension, such as the diameter of the absorbing region or the depth of penetration of the laser beam into the absorbing region, and is the speed of sound in tissue. In general, a pulse width of 3-10 ns is used in PAI. Pulse lengths greater than tens of nanoseconds do not produce a situation that satisfies the stress confinement criterion and generates either a very week or no PA signal. Pulses much shorter than a few nanoseconds lead to the generation of weaker PA signals from tissue.

The generated acoustic signals propagate radially from the source, and the amplitude of the PA wave indicates the extent of local optical absorption, while the spatial origin of the acoustic waves, which indicates the location of the absorber, can be determined by the wave shape at the body surface, as given by the time taken for each part of the wave to reach the transducer surface, after laser irradiation.

The initial PA pressure generation caused due to thermoelastic expansion can be rewritten as (Oraevsky and Karabutov 2003, Gusev and Karabutov 1993)

,(1.5)

where β is the thermal expansion coefficient, Cp is the specific heat at constant pressure, c is the speed of sound in the absorbing object, F is the light fluence and is the optical absorption coefficient. is referred to as the Grüneisen coefficient ( and H (= is the local energy deposition density. With this equation, it is possible to estimate the intrinsic sensitivity of PAl techniques, which expresses how much the pressure signal amplitude would increase, if the fluence of the laser radiation is increased by a given amount.

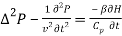
The acoustic wave that is generated upon light absorption obeys the following wave equation (ignoring thermal diffusion and kinematic viscosity) (Tam 1986, Sigrist 1986, Diebold et al. 1991, Gusev and Karabutov 1993).

(1.6)

The left side of equation represents the normal wave equation where v[JCB7] is the speed of sound in the medium of propagation, P pressure and t time. The right side describes the PA source, where β is the thermal expansion coefficient, Cp is the specific heat at constant pressure and H is the amount of heat generated following light absorption. H can be represented as the product of optical absorption coefficient μa and the light fluence F (.

The PA wave equation (1.6) formalized above can be considered as the key formula used for the construction of PA images, whereby, a linear relation between optical absorption and the measured acoustic amplitude is assumed.


[JCB1]

Just like figures and talbes, all equations should be referred to in the text. Otherwise, why is the equation there?

[JCB2]

This is how to centre an equation. Don't use any tabs. Right justify the line, and put spaces between the equation and the equation number until the equation is centred by eye.

Why have you used a really tiny font for the equation number? I recommend that you don't do this.

Also, even the equations themselves in this thesis are very small. It is boarderline acceptable. Slightly larger would be better. Of course do not make the in-line equations bigger.

Finally, rules of grammar also apply to equations. If the finish a sentence or represent a sentence on their own, they should be followed by a full stop. If the are followed by the continuation of a sentence then appropriate punctuation should be used. For example, when they are followed by "where variable is given by symbol", then the equation should end in a comma and the word "where" should begin with a small "w". You will find this to be copied from all the good journals and books.

[JCB3]

Do not use abbreviations that you have not defined.

[JCB4]

Be careful to make sure that all symbols are correctly italicised and subscripted as appropriate. I won't be able to correct many of these if there are more of these problems.

[JCB5]

Needs defining. First use is at the beginning of section 1.2.1.

[JCB6]

Time does not have a width.

[JCB7]

Do not mix symbols. You said above that c is the speed of sound.



rev

Our Service Portfolio

jb

Want To Place An Order Quickly?

Then shoot us a message on Whatsapp, WeChat or Gmail. We are available 24/7 to assist you.

whatsapp

Do not panic, you are at the right place

jb

Visit Our essay writting help page to get all the details and guidence on availing our assiatance service.

Get 20% Discount, Now
£19 £14/ Per Page
14 days delivery time

Our writting assistance service is undoubtedly one of the most affordable writting assistance services and we have highly qualified professionls to help you with your work. So what are you waiting for, click below to order now.

Get An Instant Quote

ORDER TODAY!

Our experts are ready to assist you, call us to get a free quote or order now to get succeed in your academics writing.

Get a Free Quote Order Now