- - [thesis title] - - by - - E

Print   

12 Mar 2018

Disclaimer:
This essay has been written and submitted by students and is not an example of our work. Please click this link to view samples of our professional work witten by our professional essay writers. Any opinions, findings, conclusions or recommendations expressed in this material are those of the authors and do not necessarily reflect the views of EssayCompany.

  • Efthymios Stratis

A thesis presented on the history of astronomy and the solar system, beginning with the birth of the solar system, and covering the geology, atmosphere, and moons of Mercury, Venus, Earth, Mars, Jupiter, Saturn, and Uranus.

Glossary

Asteroid. A very small planet ranging from 1,000 km to less than one km in diameter. Asteroids are found commonly around other larger planets.

Atmosphere. The gaseous mass that surrounds any planet, including Earth.

Density. The number (as of particles) per unit of measure.

Galaxy. A system of stars independent from all other systems.

Moon. The natural satellite of any planet.

Orbit. The path taken by a satellite around a celestial body.

Planet. A large, nonluminous mass, usually with its own moons, which revolves around a star. Planets are found everywhere in the galaxy.

Solar. Having to do with the sun.

Chapter 1

The Solar System

 

 

As mentioned before, smoother surfaces are more preferred by engineers due to the higher contact properties that materials have. Thus, methods like surface reconstruction are applied to change the surface roughness of crystallites. At higher temperatures and while approaching the 70% of the melting temperature and the surface is in equilibrium with its vapor phase, the creation energy of steps is almost zero; the amounts of surface free energy are equal for all facets, the low index facets at low temperatures disappear and the surface roughens. Most of the surfaces start this pre melting process over the surface roughening transition stage but well before the surface melting point of the bulk.

The processes that take place on a sample’s surface during the increase of the surface temperature from zero Kelvin towards the melting point temperature Tm are described below in Figure 1

Figure 1Thermally induced phenomena from zero Kelvin to melting temperature Ref. www.ann-phys.org

 

Surface Diffusion Is the first process taking place while beginning the heat of surface from zero Kelvin. Atoms, adatoms, molecules, or vacancies are moving on flat terraces or atomic steps in a way that reminds the random walk problem. During the diffusion process atoms are generated and consumed from kinks at atomic steps and therefore vacancies or flat terraces could be formed.

Surface Reconstruction is a process that is being activated at a certain temperature level and in which atoms are rearrange themselves that will result in a new surface with higher coordination number and density on the surface. This process takes place only on the surface and not in the bulk. Basically, the surface atoms are moving in order to relax in new equilibrium positions and reduce the surface free energy. [1] . Surfaces that are characterized by high Miller Indices often appear steps that might be monoatomic; those steps could be separated by equally wide terraces and kinks that appear in the steps. At high temperatures the energy needed for creation of steps is almost zero, the surface free energies of facets are all equal and as a result the surface roughens.

There are two cases for surface reconstruction. In the first case, while the transition temperature is reached and the kinetic barriers are overcome; the reconstruction process remains stable regardless if the sample is cooled down to lower temperatures; only the activation of the kinetic barrier is a prerequisite and not the decrease of the surface free energy for the thermal reconstruction process. In the second case, the thermal surface reconstruction takes place only above the transition temperature and when cooled below that level the process stops. [2]

Surface roughening

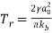
Common as the previous processes, surface roughening is a process whereas facets on a surface are becoming round in shape due to the temperature increase. First, thinking about a crystal surface at low temperature which is also flat and in equilibrium. As one can think, while the temperature increases atoms on the surface are hoping around and the higher the temperature the more intense this hoping process. This idea is correct for short-distances between atoms. However for larger scales, there is a critical temperature called roughening temperature Tr. for T < Tr the crystal is smooth and for T > Tr it is rough like a round liquid drop.

The hoping process of atoms on the surface can cause the creation of defects such as vacancies and adatoms or kinks and steps on the surface (Figure 2) .

Figure 2 . Vacancies, adatoms, steps and kinks on a Kossel crystal

But in order to characterize more quantitatively the roughness of the surface parameters are introduced such as the root mean square or RMS roughness which is the square root of the mean of the squared distances of every single point from the mean plane and the distances are shown in Figure 3 with purple and yellow arrows. The mean plane is a reference line and functions as the separating line that divides the upper and down surface areas into two equal areas. (The total surface belonging to the grid is equal to the grey area in Figure 3).

Figure 3 . Example of a surface and the height difference of every point from the mean plane

Equilibrium fluctuations.

Flat surfaces are described by the lowest energy states. Fluctuations that occur can cause breaking of bonds, atom movements, and increase of the surface energy as well as the increase of the surface area.

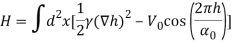
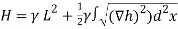
The energy of a 2D surface is given by: , γ is the surface tension and corresponds to the free energy with no fluctuations. For surfaces with small roughness. The eq. can then be written as , L is the system size and describes quite well the fluctuations of a free surface. But apart from reality the previous equation describes a continuous model and a real crystal is made by atoms separated by discrete distances the lattice constant. In order to achieve a good approach of the crystal lattice then we should introduce a periodic potential V(h) with h being the lattice constant and if have to describe real crystals then the delta function should take place in the equation to prevent potential different than the discrete lattice values. Besides all these assumptions using Fourier transformations the potential can be written as

, is the lattice constant.

The Hamiltonian that describes the fluctuations has the form of

The first term tends to keep the surface smooth and the second term tends to keep the interface into discrete lattice positions with integer multiplies of For the surface is rough and for the heights that are not integer multiplies of add a small amount of energy to the sum.

The phase transition can be studied through the RG (renormalization group) method application into the KPZ (Kardar, Parisi, Zhang) equation [3] . KPZ equation was introduced to determine the roughness exponents of a system under investigation about its growth process.

The first term on the right side describes the surface relaxation of a surface with surface tension γ. The second term is the lowest-order nonlinear term that can appear in the interface growth equation, and is justified in the Eden grow model.

The RG method can be used to define the roughening temperature Tr which seperates the system into two thermodynamically different phases. After further calculations, which are not demonstrated here, .

Correlation length

bibliography

[Last, First Name of Author]. [Title]. [Publisher], [year of publication].

[Last, First Name of Author]. [Title]. [Publisher], [year of publication].

[Last, First Name of Author]. [Title]. [Publisher], [year of publication].

[Last, First Name of Author]. [Title]. [Publisher], [year of publication].

[Last, First Name of Author]. [Title]. [Publisher], [year of publication].

[Last, First Name of Author]. [Title]. [Publisher], [year of publication].

[Last, First Name of Author]. [Title]. [Publisher], [year of publication].

[Last, First Name of Author]. [Title]. [Publisher], [year of publication].

[Last, First Name of Author]. [Title]. [Publisher], [year of publication].

[Last, First Name of Author]. [Title]. [Publisher], [year of publication].

[Last, First Name of Author]. [Title]. [Publisher], [year of publication].

[Last, First Name of Author]. [Title]. [Publisher], [year of publication].

[Last, First Name of Author]. [Title]. [Publisher], [year of publication].

[Last, First Name of Author]. [Title]. [Publisher], [year of publication].

[Last, First Name of Author]. [Title]. [Publisher], [year of publication].

[Last, First Name of Author]. [Title]. [Publisher], [year of publication].

[Last, First Name of Author]. [Title]. [Publisher], [year of publication].

[Last, First Name of Author]. [Title]. [Publisher], [year of publication].

[Last, First Name of Author]. [Title]. [Publisher], [year of publication].

[Last, First Name of Author]. [Title]. [Publisher], [year of publication].

[Last, First Name of Author]. [Title]. [Publisher], [year of publication].

[Last, First Name of Author]. [Title]. [Publisher], [year of publication].

[Last, First Name of Author]. [Title]. [Publisher], [year of publication].

[Last, First Name of Author]. [Title]. [Publisher], [year of publication].

[Last, First Name of Author]. [Title]. [Publisher], [year of publication].

[Last, First Name of Author]. [Title]. [Publisher], [year of publication].

Index

A

Aristotle, 3

F

From a Galaxy, 2

G

Geocentric theory, 2

H

Heliocentric theory, 3

M

Mariner space mission, 2

Mercury, 3

Milky Way, 2

O

Orbit

Mercury, 3

P

Planets and Moons, 2

R

Rotation

Mercury, 3

S

Solar system

creation, 2

geocentric theory, 2

heliocentric theory, 3

Mariner mission, 2

Voyager mission, 2

T

The Solar System, 2

V

Voyager space mission, 2

1.Felter, T.E., R.A. Barker, and P.J. Estrup, Phase-Transition on Mo(100) and W(100) Surfaces. Physical Review Letters, 1977. 38(20): p. 1138-1141.

2.Brune, H., Thermal dynamics at surfaces. Annalen Der Physik, 2009. 18(10-11): p. 675-698.

3.Kardar, M., G. Parisi, and Y.C. Zhang, Dynamic Scaling of Growing Interfaces. Physical Review Letters, 1986. 56(9): p. 889-892.

4


[i] Endnotes are notes that you can use to explain text in a document. To insert an endnote, click where you want to insert the note reference mark. On the Insert menu, point to Reference, and then click Footnote. Click Endnote, make any other selections you want, and then click Insert.



rev

Our Service Portfolio

jb

Want To Place An Order Quickly?

Then shoot us a message on Whatsapp, WeChat or Gmail. We are available 24/7 to assist you.

whatsapp

Do not panic, you are at the right place

jb

Visit Our essay writting help page to get all the details and guidence on availing our assiatance service.

Get 20% Discount, Now
£19 £14/ Per Page
14 days delivery time

Our writting assistance service is undoubtedly one of the most affordable writting assistance services and we have highly qualified professionls to help you with your work. So what are you waiting for, click below to order now.

Get An Instant Quote

ORDER TODAY!

Our experts are ready to assist you, call us to get a free quote or order now to get succeed in your academics writing.

Get a Free Quote Order Now