Analysis of Medicine Availability

Print   

29 Nov 2017

Disclaimer:
This essay has been written and submitted by students and is not an example of our work. Please click this link to view samples of our professional work witten by our professional essay writers. Any opinions, findings, conclusions or recommendations expressed in this material are those of the authors and do not necessarily reflect the views of EssayCompany.

4. Results

4.1 Availability of Medicine

Chart 4.1

Comparative Availability of Medicine in both public and private sector along with high priced and low priced generics

Chart 4.1 shows the comparative availability of the surveyed medicines in public sector facilities (mean availability in all PHCs over the period of seven months) and in private sector at the time of visit. Findings show that out of the thirty (30) medicines surveyed, three (3) medicines; diethyl carbamazine, ampicillin and human premixed insulin are neither available in public nor in private. Nine (9) medicines; ampicillin, diethyl carbamazine, Enalapril, furosemide, human premixed insulin, mannitol, methyldopa, phenobarbitone and sodium valproate were not available in public sector at any point of time. Availability of seven (7) medicines was found to be less than 50 percent; isosorbide dinitrate (40%), metaclopromide (40%), metronidazole (40%), dextrose NaCl (30%) and dexamethasone, glyceryl trinitrate and beclomethasone with 10, 10 and 1.4% respectively. Availability of twelve (12) medicines; Albendazole, amoxicillin, ascorbic acid, ibuprofen, paracetamol, ranitidine, cotrimoxazole, atenolol (70%), gentamicin (70%), glibenclamide (70%), salbutamol (70%), vitamin B complex (80%) was more than 50% with first seven medicines available at all times (100%).

In the private sector, the availability of medicines assumed either all or none except for the low priced versions of cotrimoxazole (70%) and glibenclamide (90%). Low price generics of 13 medicines; amoxicillin, ampicillin, beclomethasone, chlorpheniramine, dexamethasone dextrose NaCl, diethyl carbamazine, human premixed insulin, isosorbide dinitrate, mannitol, metaclopromide, methyldopa and phenobarbitone and both versions of 6 medicines; ampicillin, beclomethasone, chlorpheniramine, diethyl carbamazine, human premixed insulin and isosorbide dinitrate were not available in any facility.

Chart 4.2

Comparative availability of medicines in public sector among all the PHCs survey for the period of seven months

Chart 4.2 shows the mean availability of the surveyed medicines across all the PHCs over the period of seven months. Availability ranged from forty percent (40%) to fifty seven percent (56.67%) with the mean availability at forty eight percent (47.57%).

Chart 4.3

Comparative availability of Medicines in Private Sector

Chart 4.3 shows the mean availability of surveyed basket of medicines in private sector for both high price and low price versions. Availability of high price generics was found to be eighty percent (80%) and for low price it was fifty two percent (52%).

4.2 Price Differentials

Chart 4.4

Price Comparison of median prices of individual drugs of both high price and low price generics

Chart 4.4 cont.…..

Chart 4.4 shows the median prices of all the surveyed medicines in Indian rupee per unit dose of the medicine except for gentamicin, dextrose NaCl and mannitol (price of full pack is considered).

Table 4.1

Ratios of median prices of high price and low price generics

Name of the Medicine

Median Price of high price generic (INR)

Median price of low price generic (INR)

Ratio of median prices (high/low)

ALBENDAZOLE

18.0750

9.8000

1.84

ASCORBIC ACID

3.0000

.8700

3.45

ATENOLOL

3.6700

.5700

6.44

C0-TRIMOXAZOLE

1.5000

.6000

2.50

DICLOFENAC

4.4700

1.6000

2.79

ENALAPRIL

3.7900

2.8400

1.33

FUROSEMIDE

.5000

.4700

1.06

GENTAMICIN

14.0000

7.6000

1.84

GLIBENCLAMIDE

1.1000

.5000

2.20

GLYCERYL TRINITRATE

2.4700

.8200

3.01

IBUPROFEN

.7100

.5000

1.42

METRONIDAZOLE

.6900

.6700

1.03

PARACETAMOL

2.0000

1.2700

1.57

RANITIDINE

.5000

.4900

1.02

SODIUM VALPROATE

3.3300

2.7500

1.21

VIT - B

1.1400

1.0000

1.14

Table 4.1 gives the information on the ratios of median prices of high and low price versions of medicines available. Values ranged from 6.44 for atenolol to 1.02 for ranitidine. Higher the ratio, higher is the price difference between the generic versions available.

Table 4.2

Median Price Ratios of high priced and low priced generics in comparison with International Reference Prices

 

MPR of high priced generic

MPR of low priced generic

Median Value

1.2607

.9341

Minimum value

.22 (Dexamethasone)

.18 (Glyceryl trinitrate)

Maximum value

18.84 (Diclofenac)

8.43 (Vitamin B complex)

25

Percentiles

75

.6545

5.6058

.5894

3.5251

Table 4.2 shows the median, percentile, minimum, and maximum values of median price ratios in the private sector for both versions of generics. Maximum MPR for high price version was found for diclofenac (18.84) and minimum for dexamethasone (0.22). Maximum and minimum MPR in the low price version were for vitamin B complex (8.43) and glyceryl trinitrate (0.18).

4.3 Affordability

Table 4.3

Affordability of treatment for certain conditions in terms of daily wages

Condition

Drug

Cost of treatment regimen

High Price Generic

Low Price Generic

Upper respiratory Tract Infection

Amoxicillin 250mg tab-cap

One day’s wage

NA

Urinary tract infection

Co-trimoxazole tab-cap

0.24 days’ wages

 

Echinococcus infection

Albendazole 400mg tap-cap

6 days’ wages

3.3 days’ wages

Hypertension

Atenolol 50mg tap-cap

0.62 days’ wages

0.1 days’ wages

Enalapril 5mf tab-cap

0.63 days’ wages

0.5 days’ wages

Methyldopa 250mg tab-cap

0.85 days’ wages

NA

Atenolol+Methyldopa

1.5 days’ wages

NA

Type 2 Diabetes + Hypertension

Atenolol+Methyldopa+Glibenclamide

1.7 days’ wages

NA

Epilepsy

Sodium Valproate

0.6 days’ wages

0.5 days’ wages

       

Table 4.3 shows the information on cost of treatment regimen for few conditions using the surveyed medicines. Average wage/ salary earnings (Rs. 0.00) per day received by casual labours of age 15-59 years engaged in works other than public works in urban areas of Andhra Pradesh (INR 178.34) were considered (NSS 68th round). Cost of the treatment ranged from 6 days’ wages for treating Echinococcus infection with high price generic of Albendazole to 0.24 days’ wages for treating urinary tract infection using co-trimoxazole.

4.4 Prescription Audits

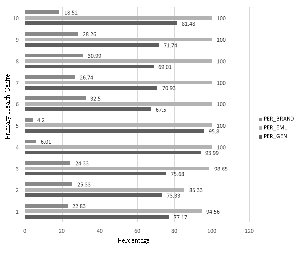
Chart 4.5

Comparison of drugs prescribed by branded name, generic name and from essential medicines list among all the PHCs surveyed

Chart 4.5 shows the percentage of drugs prescribed by generic name and branded name and as per the essential medicines list. It was found in seven PHCs the 100 percent of drugs were prescribed as per essential medicines list and in the rest it was more than eighty five percent. It was found around seventy percent of drugs were prescribed by generic name with a maximum of ninety four percent and minimum of sixty seven percent.

Table 4.4

 

No. of Medicines per prescription

No. of medicines prescribed by generic name

No. of medicines from Essential Medicines List

No. of medicines prescribed by branded name

Minimum

1

0

0

0

Maximum

6

4

6

3

Mean

2.754330

2.155680

2.697050

.587950

Table 4.4 shows the maximum, minimum and mean values analyzed in the prescription audits. Maximum and minimum drugs per prescription were six and one respectively with a mean of 2.75. Maximum and minimum drugs prescribed by generic name per prescription were four and zero with a mean of 2.15. Maximum and minimum drugs prescribed by branded name per prescription were three and zero with a mean of 0.6. Maximum and minimum drugs prescribed as per EML per prescription were six and zero with a mean of 2.7.



rev

Our Service Portfolio

jb

Want To Place An Order Quickly?

Then shoot us a message on Whatsapp, WeChat or Gmail. We are available 24/7 to assist you.

whatsapp

Do not panic, you are at the right place

jb

Visit Our essay writting help page to get all the details and guidence on availing our assiatance service.

Get 20% Discount, Now
£19 £14/ Per Page
14 days delivery time

Our writting assistance service is undoubtedly one of the most affordable writting assistance services and we have highly qualified professionls to help you with your work. So what are you waiting for, click below to order now.

Get An Instant Quote

ORDER TODAY!

Our experts are ready to assist you, call us to get a free quote or order now to get succeed in your academics writing.

Get a Free Quote Order Now